文章

116

粉丝

0

获赞

5

访问

54.5k

头像
2024年考研数学(二)考试试题 - 第19题回答
高等数学2
发布于2025年12月17日 10:46
阅读数 617


评分及理由

(1)得分及理由(满分12分)

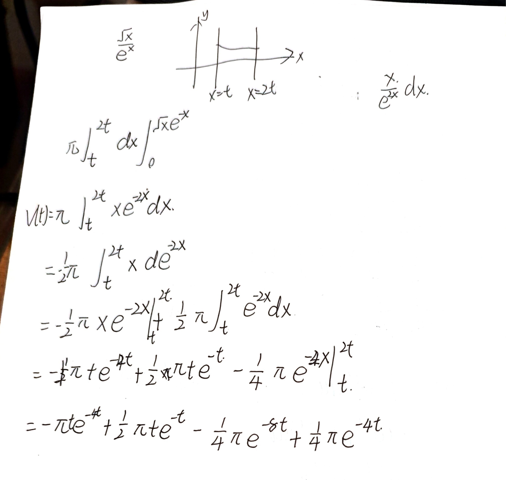
学生正确写出了旋转体体积公式 \( V(t) = \pi \int_{t}^{2t} x e^{-2x} \, dx \),并尝试用分部积分法计算该积分。但在积分过程中出现了多处错误:

  1. 第一次识别结果中,分部积分后符号处理混乱,且出现了 \( nte^{-t} \) 这样的项(应为 \( te^{-2t} \)),最后结果错误。
  2. 第二次识别结果中,虽然分部积分思路正确,但在代入上下限和化简时出现错误:例如在 \( -\frac{1}{2}\pi(2te^{-4t}-te^{-2t})+\frac{1}{2}\pi\left(-\frac{1}{2}e^{-2x}|_{t}^{2t}\right) \) 这一步之后,错误地将 \( e^{-2x}|_{t}^{2t} \) 写成了 \( e^{-4x}|_{t}^{2t} \),并在最后一项中出现了 \( e^{-8t} \) 和 \( e^{-4t} \),这与正确结果不符。
  3. 学生没有完成题目要求的“求 \( V(t) \) 的最大值”,只计算了积分表达式(且计算错误),没有进行求导、分析单调性、求最大值等步骤。

因此,本题主要考察两个部分:正确表示体积并积分,以及通过求导求最值。学生只完成了部分积分尝试且结果错误,后续关键步骤缺失。根据评分标准,逻辑错误扣分,且未完成题目要求的大部分内容。

给予部分分数:2分(满分12分)。

题目总分:2分

登录查看完整内容


登录后发布评论

暂无评论,来抢沙发