文章
116
粉丝
0
获赞
5
访问
54.5k

评分及理由
(1)得分及理由(满分6分)
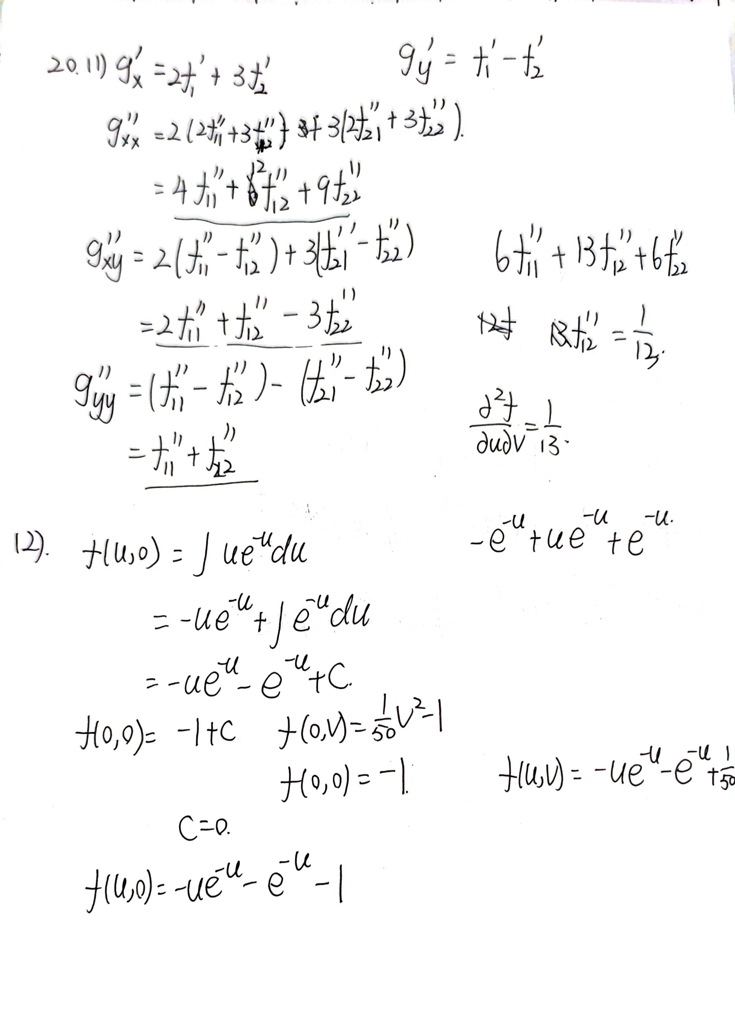
学生作答中,第一次识别结果对一阶偏导的表示基本正确(尽管用 \(t_1', t_2'\) 表示 \(f_u, f_v\) 可以理解),但在计算二阶偏导时出现多处错误:
- \(g_{xx}''\) 的计算过程写错,中间步骤有误,但最终结果在第二次识别中更正为 \(4t_{11}''+12t_{12}''+9t_{22}''\)(正确)。
- \(g_{xy}''\) 在第一次识别中写为 \(2t_{11}''+t_{12}''-3t_{22}''\)(正确),但随后写“结果为 \(6t_{11}''+13t_{12}''+6t_{22}''\)”是错误推导,且错误得出 \(\frac{\partial^2 f}{\partial u\partial v} = \frac{1}{13}\)。
- \(g_{yy}''\) 在第一次识别中计算错误(结果为 \(t_{11}''+t_{22}''\),漏了 \(-2t_{12}''\)),第二次识别仍错为 \(t_{11}''+t_{22}''\)。
由于二阶偏导代入方程后系数计算错误,导致最终答案 \(\frac{1}{13}\) 错误。但考虑到学生思路正确(用链式法则求偏导并代入方程),且第二次识别中 \(g_{xx}''\) 和 \(g_{xy}''\) 的表达式正确(尽管 \(g_{yy}''\) 错),但最终答案仍错,故扣主要错误分。给分:3分(满分6分)。
(2)得分及理由(满分6分)
学生从 \(\frac{\partial f(u,0)}{\partial u}=ue^{-u}\) 积分得 \(f(u,0)=-ue^{-u}-e^{-u}+C\),并利用 \(f(0,0)=-1\) 确定 \(C=0\),得到 \(f(u,0)=-ue^{-u}-e^{-u}\),这一步正确。
但在求 \(f(u,v)\) 时,学生直接写出 \(f(u,v)=-ue^{-u}-e^{-u}+\frac{1}{50}v^2\),这相当于假设 \(f(u,v)=f(u,0)+\frac{1}{50}v^2\),没有利用第一问得到的 \(\frac{\partial^2 f}{\partial u\partial v}=\frac{1}{25}\)(虽然学生第一问答错为 \(\...
登录后发布评论
暂无评论,来抢沙发