2024年考研数学(二)考试试题 - 第22题回答
线性代数2
发布于2025年12月17日 10:46
阅读数 527

评分及理由
(1)得分及理由(满分6分)
得分:2分。
理由:
- 学生作答中,对于条件“方程组Ax=0的解是B^Tx=0的解,但两个方程组不同解”的理解和转化存在根本性逻辑错误。标准答案中,此条件等价于两个方程组同解,从而得到关于矩阵秩的条件。学生错误地使用了“r(A)=r(AB)”等不相关的秩关系,其推导过程与题意不符,属于核心思路错误。
- 尽管学生最终得到了b=2,但a=0是错误的(正确答案是a=1)。其计算过程是基于错误的前提进行的,因此不能视为部分正确。
- 由于存在严重的逻辑错误,且未能得出正确的a值,故扣分严重。考虑到其最终得到了b=2,给予少量分数。
(2)得分及理由(满分6分)
得分:3分。
理由:
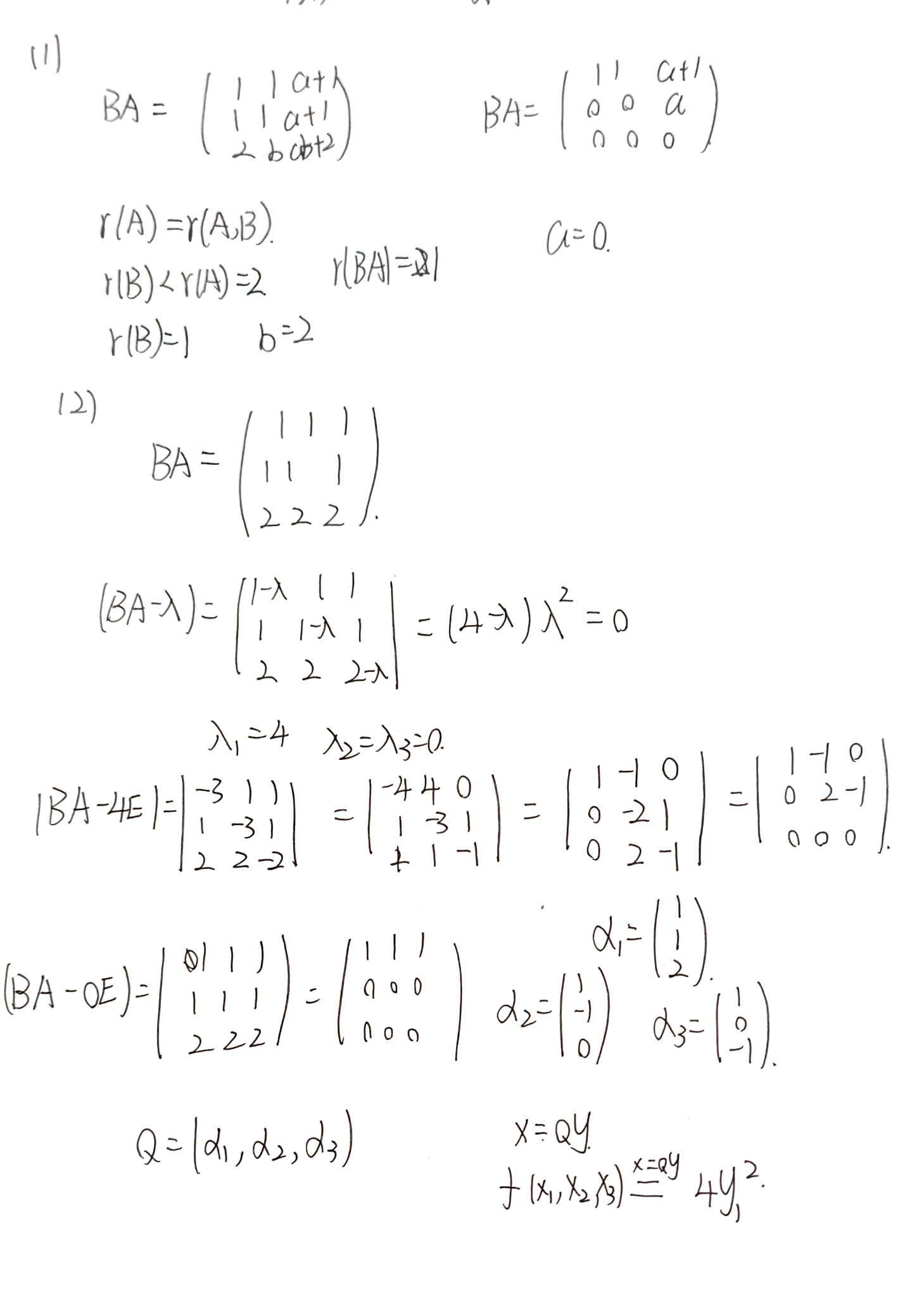
- 学生在第(2)问中,基于自己第(1)问得出的错误结果a=0, b=2,计算出了矩阵BA,并正确地判断出该矩阵的秩为1,进而通过特征多项式求出了特征值λ=4, 0, 0。此部分计算思路和方法正确。
- 学生求出了对应于特征值4和0的特征向量,并构造了变换矩阵Q。
- 主要扣分点:
- 标准形系数错误:学生得到的标准形为4y₁²,而正确答案应为6y₃²。这是因为学生基于错误的BA矩阵(其迹为1+1+2=4)进行计算,而正确的BA矩阵迹为6。
- 正交性缺失:学生构造的矩阵Q中的特征向量α₁, α₂, α₃并未进行正交化和单位化,因此Q不是正交矩阵,这与题目要求的“求正交矩阵x=Qy”不符。这是一个重要的步骤缺失。
- 鉴于学生完成了二次型标准形求解的主要步骤(求特征值、特征向量、写出变换),但结果矩阵有误且未满足正交条件,故给予一半分数。
题目总分:2+3=5分
登录后发布评论
暂无评论,来抢沙发