文章
57
粉丝
0
获赞
0
访问
22.2k


评分及理由
(1)得分及理由(满分10分)
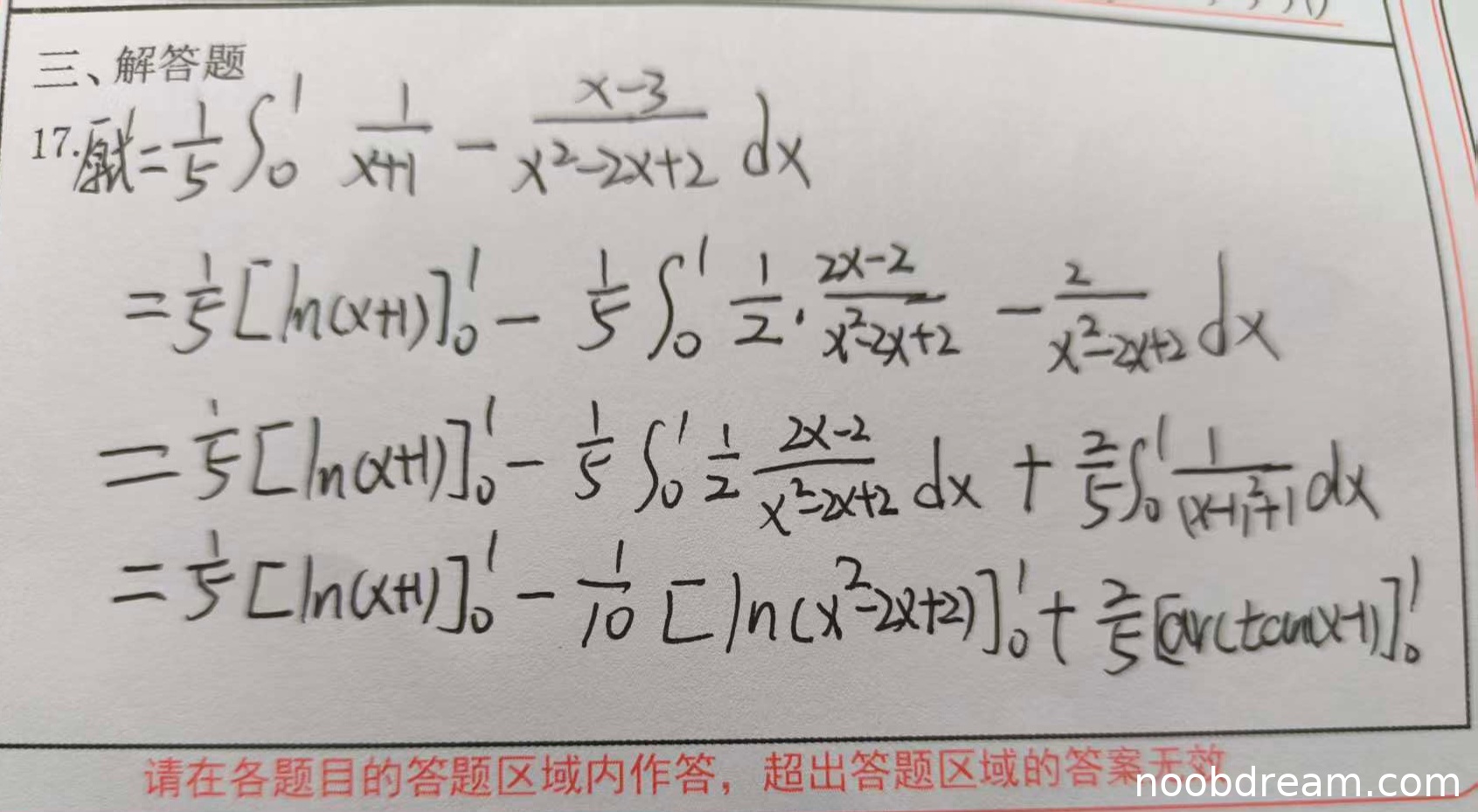
学生作答给出了完整的解题过程:首先对有理函数进行部分分式分解(结果为 \(\frac{1}{5(x+1)} - \frac{x-3}{5(x^2-2x+2)}\),与标准答案等价),然后分别积分。积分过程中正确地将 \(\frac{x-3}{x^2-2x+2}\) 拆分为 \(\frac{1}{2}\cdot\frac{2x-2}{x^2-2x+2} - \frac{2}{x^2-2x+2}\),并正确积分得到 \(\frac{1}{5}\ln(x+1) - \frac{1}{10}\ln(x^2-2x+2) + \frac{2}{5}\arctan(x-1)\),代入上下限计算得到最终答案 \(\frac{1}{10}(3\ln 2 + \pi)\),与标准答案一致。
整个思路清晰,计算无误。虽然书写格式与标准答案略有差异(如部分系数写法、步骤拆分方式),但数学逻辑完全正确,且最终答案正确。根据评分要求,思路正确不扣分,无逻辑错误,因此给予满分。
得分:10分。
题目总分:10分
登录后发布评论
暂无评论,来抢沙发