2024年考研数学(一)考试试题 - 第20题回答
高等数学
发布于2025年12月18日 12:18
阅读数 465

好的,我们先一步步分析学生的作答。
---
## **1. 题目与标准答案回顾**
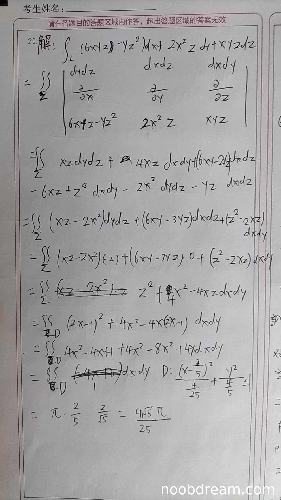
题目是计算曲线积分
\[
I = \int_L (6xyz - yz^2)dx + 2x^2 z\, dy + xyz\, dz
\]
其中 \(L\) 是球面 \(x^2+y^2+z^2=2x\) 与平面 \(2x - z - 1 = 0\) 的交线,从 \(z\) 轴正向看逆时针。
标准答案的思路:
1. 用 Stokes 公式(或直接写成旋度的曲面积分形式)将曲线积分转化为以 \(L\) 为边界的曲面 \(\Sigma\)(取平面 \(z=2x-1\) 上被 \(L\) 所围部分)上的曲面积分。
2. 计算旋度:
\[
\vec{F} = (P,Q,R) = (6xyz - yz^2, \; 2x^2 z, \; xyz)
\]
旋度
\[
\nabla \times \vec{F} =
\left( \frac{\partial R}{\partial y} - \frac{\partial Q}{\partial z}, \;
\frac{\partial P}{\partial z} - \frac{\partial R}{\partial x}, \;
\frac{\partial Q}{\partial x} - \frac{\partial P}{\partial y} \right)
\]
计算得
\[
\nabla \times \vec{F} = (xz - 2x^2, \; 6xy - 3yz, \; z^2 - 2xz)
\]
3. 曲面 \(\Sigma: z=2x-1\),取上侧(与 \(L\) 的定向匹配),法向量方向余弦与 \(dydz:dzdx:dxdy\) 的关系为
\[
dydz = -z_x dxdy = -2 dxdy,\quad dzdx = -z_y dxdy = 0
\]
所以
\[
\iint_{\Sigma} (xz-2x^2)dydz + (6xy-3yz)dzdx + (z^2-2xz)dxdy
\]
代入 \(z=2x-1\),\(dydz=-2dxdy\),\(dzdx=0\),得被积函数为
\[
(xz-2x^2)(-2) + (z...
登录后发布评论
暂无评论,来抢沙发