文章

97

粉丝

0

获赞

2

访问

42.7k

头像
2022年考研数学(一)考试试题 - 第18题回答
高等数学
发布于2025年10月25日 12:58
阅读数 587


评分及理由

(1)得分及理由(满分12分)

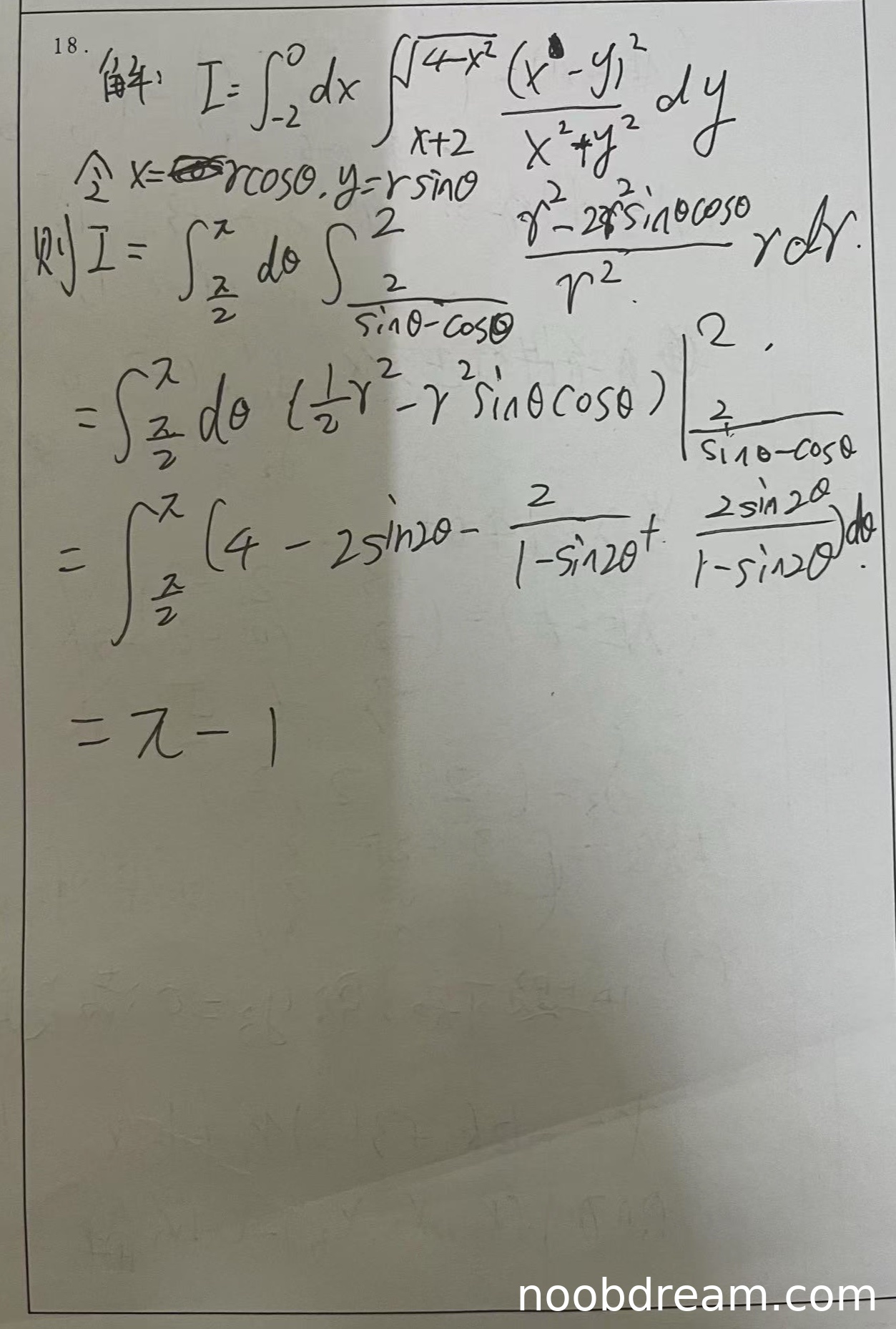
学生采用了极坐标变换的方法,思路正确,但在积分区域的确定和计算过程中存在多处错误:

  • 错误1:积分区域D的直角坐标描述为 \(x\) 从 \(-2\) 到 \(0\),\(y\) 从 \(x+2\) 到 \(\sqrt{4-x^2}\),这与题目给出的区域 \(D = \{(x,y)| - 2 + y \leq x \leq \sqrt{4 - y^{2}},0 \leq y \leq 2\}\) 不一致。题目中是以 \(y\) 为外层变量,学生错误地以 \(x\) 为外层变量,导致积分区域理解错误。
  • 错误2:在极坐标变换中,学生给出 \(r\) 的下限为 \(\frac{2}{\sin\theta - \cos\theta}\),但根据区域边界 \(x = -2 + y\)(即 \(y = x + 2\))和 \(x = \sqrt{4-y^2}\)(即圆 \(x^2+y^2=4\)),正确下限应为 \(\frac{2}{\sin\theta + \cos\theta}\)(考虑象限和边界方程)。学生使用的 \(\sin\theta - \cos\theta\) 不正确,导致后续计算全部错误。
  • 错误3:在计算 \(r\) 积分时,被积函数化简为 \(r - 2r\sin\theta\cos\theta\),但正确应为 \(1 - 2\sin\theta\cos\theta\) 乘以 \(r\)(因 \(\frac{(x-y)^2}{x^2+y^2} = 1 - \frac{2xy}{x^2+y^2}\),极坐标下为 \(1 - 2\sin\theta\cos\theta\),且面积元为 \(rdrd\theta\))。学生错误地写为 \(r - 2r\sin\theta\cos\theta\),导致积分表达式错误。
  • 错误4:在计算定积分时,最终结果 \(\pi - 1\) 与标准答案 \(2\pi - 2\) 不符,且计算过程中涉及复杂积分(如 \(\int \frac{1}{1-\sin 2\theta}d\theta\))未正确求解,进一步验证了整体错误。

尽管学生尝试了合理的极坐标方法,但由于积分区域理解错误和关键计算步骤错误,导致结果完全偏离。根据逻辑错误扣分原则...

登录查看完整内容


登录后发布评论

暂无评论,来抢沙发