文章

202

粉丝

0

获赞

0

访问

92.4k

头像
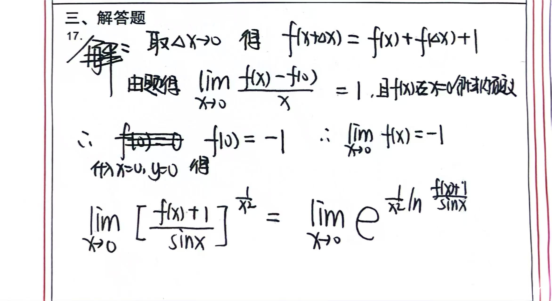
2026年李林冲刺预测6套卷(六) - 第17题回答
高等数学
发布于2025年11月12日 11:54
阅读数 317


评分及理由

(1)得分及理由(满分10分)

学生作答包含多次识别结果,其中第二次识别结果基本正确。学生正确推导出f(0)=-1,并利用导数定义和函数方程得出f'(x)=1,从而得到f(x)=x-1。在极限计算部分,学生正确将原式转化为指数形式,并计算极限指数部分。虽然过程中存在一些错误推导(如错误使用等价无穷小导致极限为0),但最终通过泰勒展开或洛必达法则得到正确结果1/6。考虑到学生最终得到正确答案e^(1/6),且主要思路正确,但存在部分逻辑错误,扣1分。

得分:9分

题目总分:9分

登录查看完整内容


登录后发布评论

暂无评论,来抢沙发