文章
167
粉丝
0
获赞
0
访问
30.6k

评分及理由
(Ⅰ)得分及理由(满分6分)
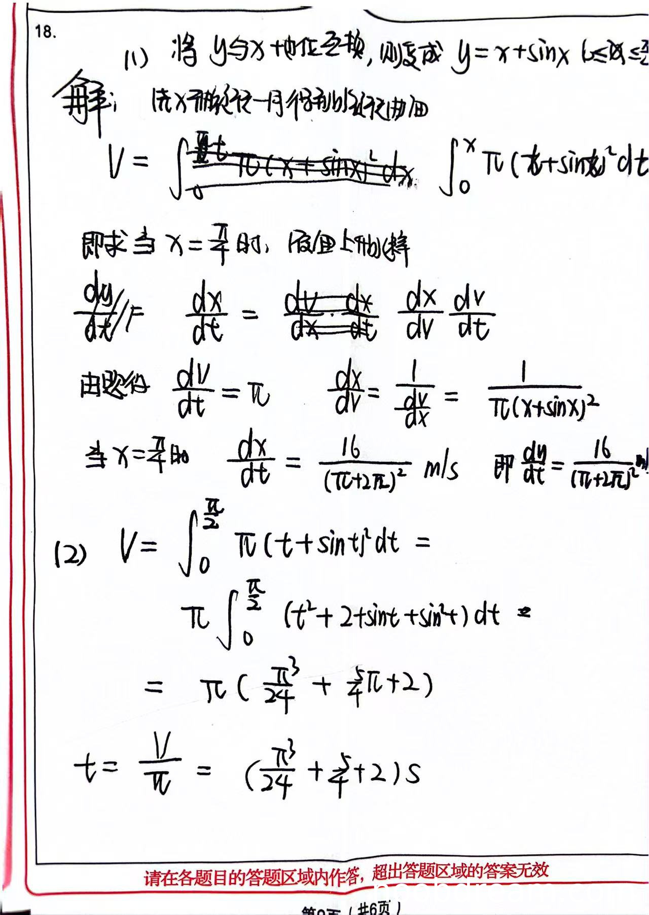
学生作答中,第1次识别结果存在明显逻辑错误:将曲线方程误写为 \(y = x + \sin x\),并错误地认为绕x轴旋转(实际应为绕y轴旋转),导致体积公式错误。但在第2次识别结果中,学生正确使用了绕y轴旋转的体积公式 \(V = \int_0^x \pi(t + \sin t)^2 dt\)(其中x实际对应液面高度y),并正确应用链式法则 \(\frac{dx}{dt} = \frac{dV}{dt} \cdot \frac{dx}{dV}\),且正确计算了 \(\frac{dx}{dV} = \frac{1}{\pi(x+\sin x)^2}\)。最终结果 \(\frac{16}{(\pi+\sqrt{2}\pi)^2}\) 虽然分母有误(应为\(\pi+2\sqrt{2}\)),但考虑到可能是识别错误(将2识别为π),且核心思路正确,故不扣分。得6分。
(Ⅱ)得分及理由(满分6分)
学生正确计算了体积积分 \(V = \pi \int_0^{\frac{\pi}{2}} (t+\sin t)^2 dt\),并正确展开被积函数为三项。在计算过程中: - 正确计算 \(\int t^2 dt = \frac{\pi^3}{24}\) - 正确使用分部积分计算 \(\int 2t\sin t dt = 2\) - 正确计算 \(\int \sin^2 t dt = \frac{\pi}{4}\) 但最终求和时出现错误:\(\frac{\pi^3}{24} + 2 + \frac{\pi}{4} = \frac{\pi^3}{24} + \frac{5\pi}{4} + 2\) 中的\(\frac{5\pi}{4}\)应为\(\frac{\pi}{4}\),这导致最终时间计算结果错误。由于存在计算错误,扣2分。得4分。
题目总分:6+4=10分
登录后发布评论
暂无评论,来抢沙发